
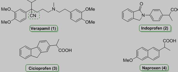
图1.1.1α-二芳基乙腈衍生物类化合物
1.1.2 α-二芳氰基的研究历程
在过去的几十年里,已对α-二芳氰基的合成方法有了进一步了深入的研究[2-9]。目前对于α-二芳基氰的合成方法主要包括:①芳烃衍生物与氯乙腈的光催化反应;②α-取代基的酰胺脱水化反应;③芳醇类与氰基烷烃类的氰基化反应;④α-二芳氰基与芳卤代烃的Pb催化偶联反应;⑤自由基亲和取代反应等。 萘酰亚胺芳基酮衍生物的合成(2):http://www.chuibin.com/huaxue/lunwen_30207.html


本实验通过传统固相法制备了铌酸钾-铌酸钴钡陶瓷,并对其进行了XRD物相分析,SEM扫描隧道显...
本课题主要研究了EIP法制备W/O/W型多重结构乳状液的相行为,对乳化剂、多元醇和无机盐分别进...
通过固相法制备了SrxNb0.1Co0.7Fe0.2O3-δ(x=0.90,0.95,0.98和1.0)电催化剂粉末,并通过一系列手段...
本次实验设计课题为茉莉精油香气协同技术研究,要研究香气之间的协同作用,必须要了解这...
通过金相显微镜、SEM、EDS、XRD等表征,表征了实验用黄铜的形貌、明确了其相组成为α+β相,...
MOFs基π络合吸附材料的制备及CO吸附分离性能研究。先用水热法合成法制备得到金属有机骨架多...