3.2.2PI薄膜的力学性能 15
3.2.3PI薄膜的热学性能分析 17
3.2.4 热处理后FCCL中的PI薄膜DSC测试 19
3.2.5 热处理后FCCL中的PI薄膜XRD测试 20
3.2.6剥离后FCCL的两面SEM观测 21
3.3FCCL尺寸稳定性测试结果讨论 21
3.3.1TMA测试 21
3.3.2剥离强度测试分析 23
3.3.3耐焊锡浴测试分析 24
4结 论 24
致 谢 25
参考文献 27
1 绪论
1.1 引言
在20世纪60年代初,芳杂环高分子材料聚酰亚胺(PI)由美国杜邦公司首次研发成功。聚酰亚胺材料的耐燃油、油脂及有机溶剂的特性极佳,耐水解性优秀,而且耐高温,耐强酸,是特性十分优异的耐热电绝缘材料。聚酰亚胺材料还拥有突出的耐辐射(中子和电子)性, 通常可以作为结构胶粘剂,粘接金属如不锈钢、铜、铝和合金等,这一特性符合微电子工业(如印刷电路板)、航空、航天工业的胶黏剂要求[1]。
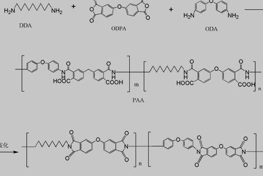
聚酰亚胺是在主分子链之中含有酰亚胺基团(酰亚胺环)的一类聚合物[2~5],它是通过二元酸(二元酸酐)和二胺反应先生成聚酰胺酸, 再通过热处理使聚酰胺酸聚酰亚胺化就得到聚酰亚胺材料了。聚酰亚胺材料的化学结构、组成、使用温度和环境影响了它的耐热性能和力学性能等。图1.1是合成聚酰亚胺的一种基本反应过程。

图1.1 聚酰亚胺的合成反应过程
PI被用作大多数尚未改性的胶黏剂,其玻璃化转变温度Tg都不是很高,通常它们的玻璃化温度在180 ~ 260 ℃之间。如果不进行性能的改良,其热分解温度要远高于实际使用的温度。除此之外,它的另一个缺点是聚酰亚胺的固化压力和固化温度都非常高。所以说为了克服聚酰亚胺作为胶黏剂所存在的缺点,需要进行改性研究来提高它的可加工性,提高柔韧性等而同时又不会牺牲它的优异耐热性能,这成为该领域的新的研究方向。
1.2 聚酰亚胺概述
1.2.1 聚酰亚胺的发展过程
聚酰亚胺首次出现是在1908年,当时Bogert和IRenshaw 使用4-氨基邻苯二甲酸酐或4-氨基邻苯二甲酸二甲酯,通过分子内缩聚反应成功合成出了芳香族聚酰亚胺。然而这一成果因为当时学术界对其不甚了解并未引起广泛的关注。而他真正作为商品开始被应用于各个行业还是在50年代,由美国杜邦公司成果研发,并申请了专利[6-8]。在之后的几十年里,各式各样的聚酰亚胺产品开始进入人们的眼球,包括薄膜制品Kapton以及清漆PyreML等,随后聚酰亚胺的产品种类爆炸般增长起来,各种优质的聚酰亚胺制品相继问世,广泛的应用于各种行业领域,它的优异性能取得了相当大的社会承认。因此许多国家相继加大对聚酰亚胺材料研究的关注与投入,并实行聚酰亚胺生产的工业化。
由于部分聚酰亚胺的不可溶性,使得其性能还不是十分的完善,因此许多技术先进的国家开展了许多的相关技术研究,争取在改善聚酰亚胺溶解性的基础上保证其其他物理化学性质的不变。在1965年之后,一系列的可溶性聚酰亚胺相继问世,改性成功使得聚酰亚胺的加工成本大大降低。
时代在进步,科技在发展,在技术发展的过程中,国内外对聚酰亚胺材料的认知也在不断的加深,对于其广泛的应用也是十分的关注。聚酰亚胺材料的工业化以及商品化也是越来越完善。1978年日本宇部兴产公司开发的聚联苯四甲酰亚胺U pilex R 和U pilexs是一种十分优秀的电子薄膜材料,是聚酰亚胺电子薄膜发展历史上的一座里程碑。 高尺寸稳定性两层柔性覆铜板用聚酰亚胺材料的制备与性能(2):http://www.chuibin.com/huaxue/lunwen_27506.html

